MỤC TIÊU: Học sinh nắm được
– Khái niệm hệ phương trình bậc nhất hai ẩn và Cách giải
– Một số dạng toán về hệ phương trình bậc nhất hai ẩn
NỘI DUNG:
Phương trình bậc nhất hai ẩn ax + by = c luôn luôn có vô số nghiệm. Tập nghiệm của nó được biểu diễn bởi đường thẳng (d): ax + by = c
Gọi (d): ax + by = c, (d’): a’x + b’y = c’, khi đó ta có
Hệ hai phương trình tương đương với nhau nếu chúng có cùng tập nghiệm
– Quy tắc cộng
– Giải hệ phương trình bằng phương pháp thế
+ Nhân hai vế của mỗi phương trình với một số thích hợp (nếu cần) sao cho các hệ số của một ẩn nào đó trong hai phương trình bằng nhau hoặc đối nhau
+ Áp dụng quy tắc cộng đại số để được hệ phương trình mới, trong đó có một phương trình mà hệ số của một trong hai ẩn bằng 0 (phương trình một ẩn)
+ Giải phương trình một ẩn vừa thu được rồi suy ra nghiệm của hệ đã cho
– Nếu hai số x và y thỏa mãn x + y = S, x.y = P (với S2 ≥ 4P) khi đó hai số x, y là nghiệm của phương trình: x2 + SX + P = 0
a. Định nghĩa:
Hệ hai phương trình hai ẩn x và y được gọi là đối xứng loại 1 nếu ta đổi chỗ hai ẩn x và y đó thì từng phương trình của hệ không đổi
b. Cách giải
c. Ví dụ giải hệ phương trình:
$ \left\{ \begin{array}{l}x+y+xy=7\\{{x}^{2}}+{{y}^{2}}+xy=13\end{array} \right.$
$ \left\{ \begin{array}{l}x+y+xy+1=0\\{{x}^{2}}+{{y}^{2}}-x-y=22\end{array} \right.$
$ \left\{ \begin{array}{l}x+y+{{x}^{2}}+{{y}^{2}}=8\\xy(x+1)(y+1)=12\end{array} \right.$
a. Định nghĩa
Hệ hai phương trình hai ẩn x và y được gọi là đối xứng loại 2 nếu ta đổi chỗ hai ẩn x và y thì phương trình này trở thành phương trình kia và ngược lại
b. Cách giải
c. Ví dụ
Giải hệ phương trình:
$ \displaystyle \left\{ \begin{array}{l}2x={{y}^{2}}-4y+5\\2y={{x}^{2}}-4x+5\end{array} \right.$
$ \left\{ \begin{array}{l}{{x}^{3}}=13x-6y\\{{y}^{3}}=13y-6x\end{array} \right.$
a. Định nghĩa
– Hệ phương trình đẳng cấp bậc hai có dạng:
b. Cách giải
* Lưu ý: ta có thể thay x bởi y và y bởi x trong phần trên để có cách giải tương tự
c. Ví dụ
Giải hệ phương trình:
$ \left\{ \begin{array}{l}{{x}^{2}}-4xy+{{y}^{2}}=1\\{{y}^{2}}-3xy=4\end{array} \right.$
$ \left\{ \begin{array}{l}2{{x}^{2}}-3xy+{{y}^{2}}=3\\{{x}^{2}}+2xy-2{{y}^{2}}=6\end{array} \right.$
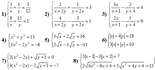
1. Vận dụng quy tắc thế và quy tắc cộng đại số để giải các hệ phương trình sau:
– Giải hệ phương trình bằng phương pháp thế
– Giải hệ phương trình bằng phương pháp cộng đại số

2. Bài tập

Bài tập:

Phương pháp giải:
i) Nếu a = 0: (1) trở thành 0x = b
– Nếu b = 0 thì hệ có vô số nghiệm
– Nếu b0 thì hệ vô nghiệm
ii) Nếu a 0 thì (1) x = , Thay vào biểu thức của x ta tìm y, lúc đó hệ phương trình có nghiệm duy nhất.

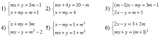
Bài tập: Giải và biện luận các hệ phương trình sau:

Phương pháp giải:
Ví dụ 1: Xác định m nguyên để hệ có nghiệm duy nhất là nghiệm nguyên:
$ \displaystyle \left\{ \begin{array}{l}mx+2y=m+1\\2x+my=2m-1\end{array} \right.$
Giải

Bài tập:
Bài 1: Định m nguyên để hệ có nghiệm duy nhất là nghiệm nguyên:
$ \displaystyle \left\{ \begin{array}{l}(m+1)x+2y=m-1\\m_{{}}^{2}x-y=m_{{}}^{2}+2m\end{array} \right.$
Bài 2:
a) Định m, n để hệ phương trình sau có nghiệm là (2; -1)

HD: Thay x = 2 ; y = -1 vào hệ ta được hệ phương trình với ẩn m, n
b) Định a, b biết phương trình ax2 -2bx + 3 = 0 có hai nghiệm là x = 1 và x = -2
HD: Thay x = 1 và x = -2 vào phương trình ta được hệ phương trình với ẩn a, b
c) Xác định a, b để đa thức f(x) = 2ax2 + bx – 3 chia hết cho 4x – 1 và x + 3
Bài 3: Xác định a, b để đường thẳng y = ax + b đi qua hai điểm A(2 ; 1) ; B(1 ; 2)
HD: Đường thẳng y = ax + b đi qua hai điểm A(2 ; 1) ; B(1 ; 2) ta có hệ phương trình
Bài 4: Định m để 3 đường thẳng 3x + 2y = 4; 2x – y = m và x + 2y = 3 đồng quy
HD:
– Tọa độ giao điểm M (x ; y) của hai đường thẳng 3x + 2y = 4 và x + 2y = 3 là nghiệm của hệ phương trình: $ \displaystyle \left\{ \begin{array}{l}3x+2y=4\\x+2y=3\end{array} \right.\Leftrightarrow \left\{ \begin{array}{l}x=0,5\\y=1,25\end{array} \right.$ .
Vậy M(0,2 ; 1,25)
Để ba đường thẳng trên đồng quy thì điểm M thuộc đường thẳng 2x – y = m, tức là: 2.0,2- 1,25 = m ⇔ m = -0,85
Vậy khi m = -0,85 thì ba đường thẳng trên đồng quy
Định m để 3 đường thẳng sau đồng quy
a) 2x – y = m ; x – y = 2m ; mx – (m – 1)y = 2m – 1
b) mx + y = m2 + 1 ; (m +2)x – (3m + 5)y = m – 5 ; (2 – m)x – 2y = -m2 + 2m – 2
Bài 5: Định m để hệ phương trình có nghiệm duy nhất (x;y) thỏa mãn hệ thức cho trước
Cho hệ phương trình: $ \displaystyle \left\{ \begin{array}{l}mx+4y=9\\x+my=8\end{array} \right.$
Với giá trị nào của m để hệ có nghiệm (x ; y) thỏa mãn hệ thức:
$ \displaystyle 2x+y+\frac{38}{m_{{}}^{2}-4}=3$
HD:
Giải hệ phương trình theo m ( m ≠ ± 2) sau đó thế vào hệ thức.
Bài 1: Cho hệ phương trình $ \displaystyle \left\{ \begin{array}{l}mx+4y=10-m\\x+my=4\end{array} \right.$ (m là tham số)
a) Giải hệ phương trình khi m = $ \displaystyle \sqrt{2}$
b) Giải và biện luận hệ phương trình theo m
c) Xác định các giá trị nguyên của m để hệ có nghiệm duy nhất (x;y) sao cho x> 0, y > 0
d) Với giá trị nào của m thì hệ có nghiệm (x;y) với x, y là các số nguyên dương
Bài 2: Cho hệ phương trình: $ \displaystyle \left\{ \begin{array}{l}(m-1)x-my=3m-1\\2x-y=m+5\end{array} \right.$
a) Giải và biện luận hệ phương trình theo m
b) Với giá trị nguyên nào của m để hai đường thẳng của hệ cắt nhau tại một điểm nằm trong góc phần tư thứ IV của hệ tọa độ Oxy
c) Định m để hệ có nghiệm duy nhất (x ; y) sao cho P = x2 + y2 đạt giá trị nhỏ nhất.
Bài 3: Cho hệ phương trình: $ \displaystyle \left\{ \begin{array}{l}3x+2y=4\\2x-y=m\end{array} \right.$
a) Giải hệ phương trình khi m = 5
b) Tìm m nguyên sao cho hệ có nghiệm (x; y) với x < 1, y < 1
c) Với giá trị nào của m thì ba đường thẳng
3x + 2y = 4; 2x – y = m; x + 2y = 3 đồng quy
Bài 4: Cho hệ phương trình: $ \displaystyle \left\{ \begin{array}{l}mx+4y=9\\x+my=8\end{array} \right.$
a) Giải hệ phương trình khi m = 1
b) Với giá trị nào của m để hệ có nghiệm (-1 ; 3)
c) Với giá trị nào của m thì hệ có nghiệm duy nhất, vô nghiệm
Bài 5: Cho hệ phương trình: $ \displaystyle \left\{ \begin{array}{l}x+my=9\\mx-3y=4\end{array} \right.$
a) Giải hệ phương trình khi m = 3
b) Với giá trị nào của m để hệ có nghiệm (-1 ; 3)
c) Chứng tỏ rằng hệ phương trình luôn luôn có nghiệm duy nhất với mọi m
d) Với giá trị nào của m để hệ có nghiệm (x ; y) thỏa mãn hệ thức:
$ \displaystyle x-3y=\frac{28}{m_{{}}^{2}+3}-3$
Bài 6: Cho hệ phương trình: $ \displaystyle \left\{ \begin{array}{l}mx-y=2\\3x+my=5\end{array} \right.$
a) Giải hệ phương trình khi $ \displaystyle m=\sqrt{2}$ .
b) Tìm giá trị của m để hệ phương trình đã cho có nghiệm (x; y) thỏa mãn hệ thức $ \displaystyle x+y=1-\frac{m_{{}}^{2}}{m_{{}}^{2}+3}$ .
Bài 7: Cho hệ phương trình: $ \displaystyle \left\{ \begin{array}{l}3x-my=2=-9\\mx+2y=16\end{array} \right.$
a) Giải hệ phương trình khi m = 5
b) Chứng tỏ rằng hệ phương trình luôn luôn có nghiệm duy nhất với mọi m
c) Định m để hệ có nghiệm (x ; y) = ( 1,4 ; 6,6)
d) Tìm giá trị nguyên của m để hai đường thẳng của hệ cắt nhau tại một điểm nằm trong góc phần tư thứ IV trên mặt phẳng tọa độ Oxy
e) Với trị nguyên nào của m để hệ có nghiệm (x ; y) thỏa mãn x + y = 7