WebToan.Com là thư viện mở ngành Toán học NÊN sao chép, chia sẻ, KHÔNG NÊN thương mại hoá.

Đề thi HSG môn Toán 8 huyện Phù Ninh 2016-2017 có đáp án

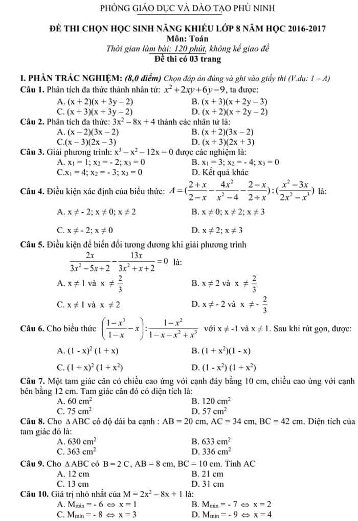
Đề thi học sinh giỏi môn Toán lớp 8 huyện Phù Ninh, tỉnh Phú Thọ năm học 2016-2017 có đáp án.

Đề thi gồm 2 phần Trắc nghiệm và Tự luận.

Đề thi HSG môn Toán 8 huyện Phù Ninh 2016-2017 có đáp án

Đề thi HSG môn Toán 8 huyện Phù Ninh 2016-2017 có đáp án

Đáp án Đề thi HSG môn Toán 8 huyện Phù Ninh năm 2016-2017.

Đề thi HSG môn Toán 8 huyện Phù Ninh 2016-2017 có đáp án

Vui lòng nhập mật khẩu để tiếp tục

👉To Confessions đến các em học sinh và giáo viên được tốt nhất. Mọi người vui lòng nhập mật khẩu vào ô bên trên

🔎Nhận mật khẩu bằng cách xem hướng dẫn từ video này

‼️‼️‼️ Hướng dẫn lấy mật khẩu (làm theo video bên dưới)

🔜Sau khi lấy được Mã, quay lại điền vào ô Nhập Mật khẩu ở trên

cuốn đức củacuonsg

Đề thi HSG môn Toán 8 huyện Phù Ninh 2016-2017 có đáp án

Đề thi HSG môn Toán 8 huyện Phù Ninh 2016-2017 có đáp án

★★★ Danh sách các tài liệu, đề thi HOT ★★★

✔️ 240+ Đề thi toán lớp 9

✔️ 10+ Đề thi học sinh giỏi quốc gia

Bình luận
0 0 vote
Article Rating
Subscribe
Notify of
guest
0 Comments
Inline Feedbacks
View all comments
Bình luận fb
0
Would love your thoughts, please comment.x
()
x