WebToan.Com là thư viện mở ngành Toán học NÊN sao chép, chia sẻ, KHÔNG NÊN thương mại hoá.

Sử dụng biểu thức phụ để tìm để tìm GTLN, GTNN

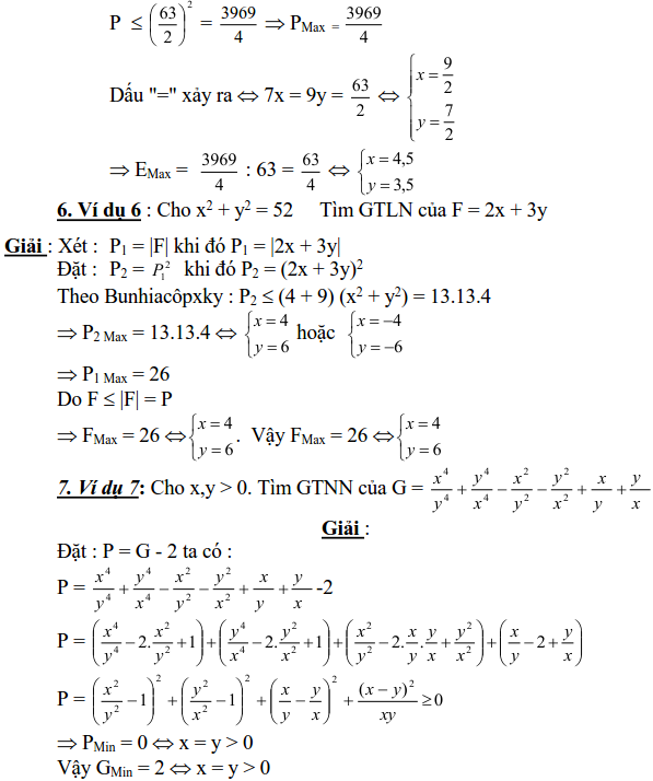
Để tìm cực trị của 1 biểu thức nào đó, đôi khi người ta xét cực trị của 1 biểu thức khác có thể so sánh được với nó, nếu biểu thức phụ dễ tìm cực trị hơn.

Ví dụ : Để tìm cực trị của biểu thức A với A > 0, ta có thể xét cực trị của biểu thức:

Sử dụng biểu thức phụ để tìm để tìm GTLN, GTNN

Sử dụng biểu thức phụ để tìm để tìm GTLN, GTNN

Sử dụng biểu thức phụ để tìm để tìm GTLN, GTNN

Vui lòng nhập mật khẩu để tiếp tục

👉To Confessions đến các em học sinh và giáo viên được tốt nhất. Mọi người vui lòng nhập mật khẩu vào ô bên trên

🔎Bước 1: Vào Google tìm từ khóa: cửa nhôm xingfa

Bước 2: Vào website có tiêu đề như hình dưới

Bước 3: Kéo xuống gần cuối bài viết lấy Mã. Mã gồm 10 số có dạng Mã: 2……..0

cuanhomxingfa

Sử dụng biểu thức phụ để tìm để tìm GTLN, GTNN

★★★ Danh sách các tài liệu, đề thi HOT ★★★

✔️ 240+ Đề thi toán lớp 9

✔️ 10+ Đề thi học sinh giỏi quốc gia

Bình luận
0 0 vote
Article Rating
Subscribe
Notify of
guest
0 Comments
Inline Feedbacks
View all comments
Bình luận fb
0
Would love your thoughts, please comment.x
()
x